Was ist APO-go®?
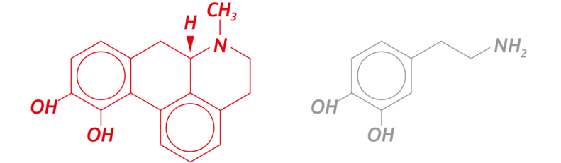
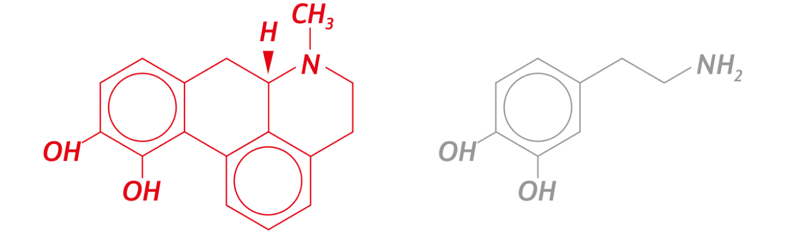
APO-go® enthält den nicht-selektiven Dopaminagonisten Apomorphin, welcher chemisch den Morphin-Derivaten zugeschrieben wird. Trotz seiner Verwandtschaft zu Morphin bindet Apomorphin nicht an Opioidrezeptoren und hat somit keine analgetische Wirkung. Es fällt deshalb nicht unter die Regulation der Betäubungsmittel. Apomorphin besitzt eine sehr ähnliche Struktur zu körpereigenem Dopamin.1 Durch seine stark lipophilen Eigenschaften kann es schnell in das Zentralnervensystem gelangen.2

Als Apomorphin-Therapie ist APO-go® zugelassen zur subkutanen Behandlung motorischer Fluktuationen bei Morbus Parkinson, die durch eine orale Therapie nicht mehr ausreichend behandelbar sind. 3-5
Wann wird APO-go® angewendet?
APO-go® ist zugelassen zur Behandlung motorischer Fluktuationen bei Patient:innen mit Morbus Parkinson, die durch eine orale Therapie nicht mehr ausreichend behandelbar sind. Dies trifft vor allem auf Patient:innen mit Spätkomplikationen zu.
Häufig auftretende motorische Komplikationen sind vor allem die ON-/OFF-Symptomatik und Dyskinesien nach langjähriger L-Dopa-Therapie. 1 Ursachen dafür sind vor allem:
- die pulsatile dopaminerge Stimulation durch eine orale Medikation 1
- die fortschreitende Degeneration des nigrostriatalen Dopaminsystems 1
- die vermehrt aufkommenden gastrointestinalen Probleme vieler Parkinson- Patient:innen. 6-9
Durch das immer schmaler werdende Therapiefenster bei fortschreitendem Krankheitsverlauf können therapeutische und motorische Komplikationen entstehen. Diese wirken sich stark auf die Mobilität und Lebensqualität der Patient:innen aus.10
Aufgrund des schnellen Wirkeintritts durch Umgehen des GI-Trakts kann Apomorphin unmittelbar nach dem Auftreten der motorischen Komplikationen eine starke Linderung der Symptome bieten.4,5,11 Dabei kann Apomorphin auf zwei verschiedene Arten appliziert werden: Mit einem APO-go® PEN für den sofortigen Einsatz bei OFF-Perioden oder mit einer APO-go® PUMPE zur kontinuierlichen subkutanen Infusion von Apomorphin. 4,5,11


